题目:Machine-based understanding of noise perception in urban environments using mobility-based sensing data期刊:Computers, Environment and Urban SystemsvolumeDOI:https://doi.org/10.1016/j.compenvurbsys.2024.102204
准确理解噪声感知对城市规划、噪声管理和公共卫生至关重要。然而,视觉和声学的城市景观是内在相互联系的:我们所看到和听到的复杂交织关系共同塑造了城市环境中的噪声感知。为了测量这一复杂的混合效应,我们在香港开展了一项基于移动性的调查,涉及800名参与者,记录了他们的噪声暴露、噪声感知和GPS轨迹数据。此外,我们获取了与每个GPS轨迹点相关联的Google街景图像,并从中提取了城市视觉环境的相关信息。本研究采用了多感官框架,结合XGBoost和Shapley加性解释(SHAP)模型,构建了一个可解释的噪声感知分类模型。与仅依赖声压水平相比,我们的模型在预测噪声感知方面表现出显著的改善,六分类准确率约为0.75。研究结果表明,影响噪声感知的最重要因素是声压水平以及建筑物、植物、天空的比例和光照强度。此外,我们还发现视觉因素与噪声感知之间存在非线性关系:建筑物数量过多时,会加剧噪声的烦扰感和压力感知,同时降低客观噪声感知;另一方面,绿植的存在有助于减缓噪声对压力感知的影响,但当绿植达到一定阈值后,会导致客观噪声感知和噪声烦扰感的恶化。我们的研究为噪声压力的客观和主观感知提供了新的见解,有助于深化对复杂动态城市环境的理解。
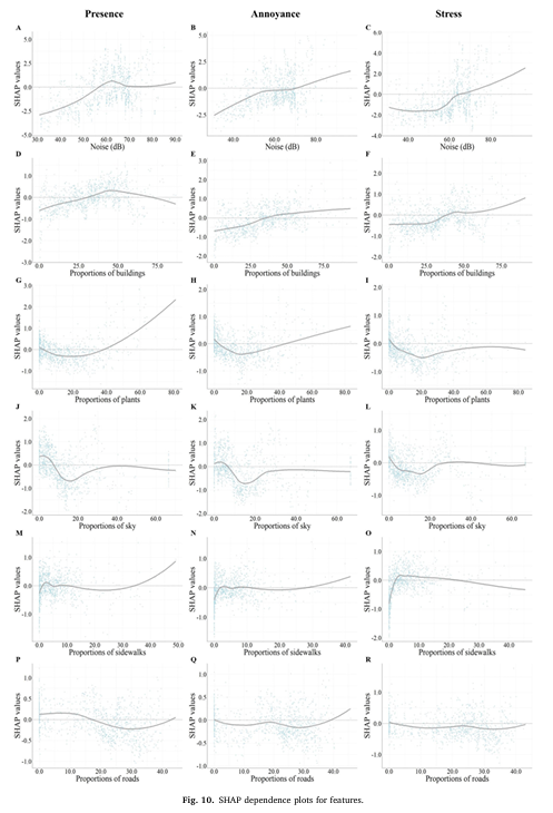
An accurate understanding of noise perception is important for urban planning, noise management and public health. However, the visual and acoustic urban landscapes are intrinsically linked: the intricate interplay between what we see and hear shapes noise perception in the urban environment. To measure this complex and mixed effect, we conducted a mobility-based survey in Hong Kong with 800 participants, recording their noise exposure, noise perception and GPS trajectories. In addition, we acquired Google Street View images associated with each GPS trajectory point and extracted the urban visual environment from them. This study used a multi-sensory framework combined with XGBoost and Shapley additive interpretation (SHAP) models to construct an interpretable classification model for noise perception. Compared to relying solely on sound pressure levels, our model exhibited significant improvements in predicting noise perception, achieving a six-classification accuracy of approximately 0.75. Our findings revealed that the most influential factors affecting noise perception are the sound pressure levels and the proportion of buildings, plants, sky, and light intensity. Further, we discovered non-linear relationships between visual factors and noise perception: an excessive number of buildings exacerbated noise annoyance and stress levels and diminished objective noise perception at the same time. On the other hand, the presence of green plants mitigated the effect of noise on stress levels, but beyond a certain threshold, it led to worsened objective noise perception and noise annoyance instead. Our study provides insight into the objective and subjective perception of noise pressure, which contributes to advancing our understanding of complex and dynamic urban environments.
本研究在香港开展了一项基于移动性的调查,以收集连续的实时声压水平和噪声感知评估结果。通过将客观噪声(即声压水平)与从街景图像中提取的城市视觉环境相结合,我们
构建了一个多感官噪声感知预测框架。结合该框架与可解释的机器学习模型,分析城市视听环境对噪声感知的综合影响,我们揭示了噪声感知中的复杂非线性关系和交互作用。本研究旨在开发一个噪声感知预测模型,并深入了解影响噪声感知的机制(见图1)。研究分为三个主要部分:A) 数据收集:在这一阶段,邀请参与者参与基于移动性的调查,在此过程中收集了他们的GPS轨迹、声压水平和噪声感知数据。此外,还收集了参与者活动轨迹的Google街景图像。B) 特征提取:这一阶段包括两个关键步骤。首先,对参与者的噪声感知进行了三种不同的评估。其次,从街景图像中提取了城市环境元素及其比例,并识别了场景类别。C) 基于机器的模型:基于XGBoost分类器进行噪声感知预测建模,并结合SHAP可解释的机器建模,分析影响噪声感知的城市环境因素。
This study conducted a mobility-based survey in Hong Kong to collect continuous real-time measured sound pressure levels and noise perception assessment results. By integrating objective noise (i.e., sound pressure level) with the urban visual environment extracted from Street View images, we construct a multisensory noise perception prediction framework. Combining this framework with an interpretable machine learning model to analyze the combined effect of the urban audiovisual environment on noise perception, we reveal the complex non-linear relationships and interactions in noise perception.This study aims to develop a predictive model for noise perception and to gain insight into the mechanisms that influence noise perception (Fig. 1). The study is divided into three main parts: A) Data collection: In this phase, participants were invited to participate in a mobility-based survey, during which data on their GPS trajectories, sound pressure level, and noise perception were collected. Additionally, Google Street View images of participants' activity trajectories were collected. B) Feature extraction: This phase involves two key steps. First, three different assessments of participants' noise perception were conducted. Second, urban environment elements and their ratios were extracted from the Street View images, and scenario categories were identified. C) Machine-based model: predictive modeling of noise perception based on XGBoost classifier and combining with SHAP interpretable machine modeling to analyze the urban environmental factors affecting noise perception.

本研究在香港开展了一项基于移动性的调查,收集了实时连续的噪声值和噪声感知评估数据,并从街景图像中提取了城市视觉环境信息。通过将声学和视觉环境相结合,我们使用XGBoost构建了一个噪声感知分类模型,并利用可解释工具SHAP综合分析了视听环境对噪声感知的影响机制。研究结果表明,整合的视听环境在预测噪声感知方面更加准确。尽管声压水平是影响噪声感知的最重要因素,但视觉环境中的建筑物、天空和植物等元素也会影响人们的噪声感知,并且呈现出阈值效应。我们认为,研究结果有助于深入理解城市环境中的噪声感知,并提供大规模高精度的噪声感知预测,从而为城市规划和环境管理提供支持。
In this study, we conducted a mobility-based survey in Hong Kong to collect real-time continuous measured noise values and noise perception assessment data, and extracted urban visual environment information from Street View images. Combining the acoustic and visual environments, we constructed a classification model for noise perception using XGBoost and synthesized the mechanism of the influence of the audio-visual environment on noise perception using the interpretable tool SHAP. The results of the study show that the integrated audio-visual environment is more accurate in predicting noise perception. Although sound pressure level is the most important factor influencing noise perception, elements such as buildings, sky and plants in the visual environment also affect people's noise perception and show a threshold effect. We believe that the results of the study can help to provide a deeper understanding of noise perception in urban environments and provide large-scale high-precision predictions of noise perception, thus supporting urban planning and environmental management.












