分类关系图表用于展示数字变量和一个或多个分类变量之间的关系,可以进一步分为:箱形图(box plot)、增强箱形图(enhanced box plot)、小提琴图(violin plot)、抖动散点图(jitter plot)、蜂群图(beeswarm plot)、点图(point plot)、柱状图(bar plot)、分类柱状图(count plot )。本文介绍使用Python工具seaborn详细实现分类关系图表,包含8类图141个代码模版。
柱状图(bar plot)
柱状图(bar plot)表示了一个数值变量的聚合或统计估计(比如和,中值,均值,详细介绍见后章节9.3.2.6 柱状图-6类统计方式),每个矩形的高度表示该估计,同时使用误差条指示该估计的不确定性。
例如,柱状图-6类统计方式 ,
统计方式,即柱子高度代表变量的'mean', 'median','sum','min','max'或者'std'之一,用图展示各中统计方式差异,
estimators = ['mean', 'median', 'sum', 'min', 'max', 'std'] #6种统计方式
fig, axs = plt.subplots(2, 3, figsize=(15, 10))
for i, estimator in enumerate(estimators):
row = i // 3
col = i % 3
sns.barplot(
x='企鹅的种类',
y='喙长 (毫米)',
data=penguins,
estimator=estimator, #设置不同的统计方式
ax=axs[row, col],
color="#a8a6a7")
axs[row, col].set_title(f'统计方式: {estimator}')
plt.tight_layout()
plt.show()

例如,柱状图-多子图,
sns.catplot(
data=penguins,
x="性别",
y="喙长 (毫米)",
col="企鹅的种类", #列按照"岛屿"分面
kind="bar",
palette=["#006a8e", "#b1283a"],
)

分类柱状图(count plot )
分类柱状图(count plot )使用柱状图显示每个分类箱中的观测计数,这类图要区别于上文章节9.3.2 柱状图,用于直接显示每个类别中的观测数量,而不是间接统计计算一个新的统计量。例如,分组分类柱状图,
g = sns.countplot(
data=penguins,
x="企鹅的种类",
hue="性别",
palette=["#006a8e", "#b1283a"],
)
#添加柱值文本标签
g.bar_label(g.containers[0], fontsize=10)
g.bar_label(g.containers[1], fontsize=10)

箱形图(box plot)
箱形图(box plot)直观地展示数据的关键指标(如下四分位数Q1、上四分位数Q3、中位数、平均值、异常值点),如下图,
通过箱图可比较几组数据的分布情况,检查数据异常值,比较不同分布数据的偏态和尾重等。
例如,单组箱图,
sns.catplot(
data=titanic,
y="年龄",
showmeans=True, #显示平均数
meanline=True, #显示平均数线
meanprops={ #平均数线个性化
'linestyle': '--', #线型
'color': '#b1283a', #线颜色
'linewidth': 1, #线宽
},
kind="box",
width=0.1,
color="#a8a6a7")

例如,多子图箱图,
sns.catplot(
data=titanic,
x="登船港口",
y="年龄",
hue="性别",
col="船票等级", #列按照"船票等级"分面
row="获救情况", #行按照"获救情况"分面
width=0.7,
linewidth=0.6,
kind="box",
palette=["#006a8e", "#b1283a"])

增强箱形图(enhanced box plot)
增强箱形图(enhanced box plot),又称作“Letter-value plots”,类似于箱形图,但是,能展示更多的分位数,提供更多关于数据分布形状的信息,特别是在尾部数据和异常值数据中,它更适用于较大的数据集(数据size:10,000-100,000),
早期也是由Hadley Wickham等大佬提出。
例如,分组增强箱形图-垂直方向,
sns.catplot(
data=diamonds,
x="净度", #垂直方向按照"净度"分组
y="价格 ($)",
width=0.5,
kind="boxen",
color="#a8a6a7")

例如,分组增强箱形图-垂直方向,进一步分组,
sns.catplot(
data=diamonds[diamonds['切工'].isin(['Fair', 'Very Good'])],
x="净度",
y="价格 ($)",
hue="切工",
width=0.8,
kind="boxen",
palette=["#006a8e", "#b1283a"], #箱子颜色个性化设置

小提琴图(violin plot)
小提琴图(violin plot)本质上是由外部核密度图(上文章节“8.2 核密度图”)和内部箱形图(上文章节“9.1.1 箱形图”)两种基本图形结合而来的,核密度图展示数据概率密度(数据在某个值附近出现的频率,可展示数据在整个范围内的分布),箱形图展示数据分布状态(例如中位数,平均值,分位数,异常值等)!
例如,分组小提琴图,
sns.catplot(
data=titanic,
x="船票等级1",
y="年龄",
hue="性别", #颜色随着"性别"变化
width=0.7,
kind="violin",
color="#a8a6a7")

抖动散点图(jitter plot)
抖动散点图(jitter plot),是一类特殊的散点图,在一般散点图的基础上通过添加一些小幅度的随机抖动(jitter),调整分类轴上点的位置,在统计图表中,抖动可以使数据点在某个方向上稍微分散,以更清晰地展示分布。
例如,分组抖动散点图,
sns.catplot(
data=tips,
y="消费金额 ($)",
x="客人性别",
hue="是否吸烟",
dodge=True, #和hue一起使用,对x指定的变量进一步分组
size=12,
alpha=0.5,
kind="strip",
palette=["#006a8e", "#b1283a"])

蜂群图(beeswarm plot)
蜂群图(beeswarm plot),似一群蜜蜂集聚在一起而得名,类似上文章节9.2.1抖动散点图,但是使用一种算法调整了点的位置(只沿着分类轴,注意区别于抖动散点图的随机抖动),以避免它们重叠。这样可以更好地展示数值的分布,但是对于大量的观测值来说不适用。例如,分组蜂群图,
sns.catplot(
data=tips,
y="消费金额 ($)",
x="客人性别",
hue="是否吸烟",
dodge=True, #和hue一起使用,对x指定的变量进一步分组
size=6,
kind="swarm",
palette=["#006a8e", "#b1283a"])

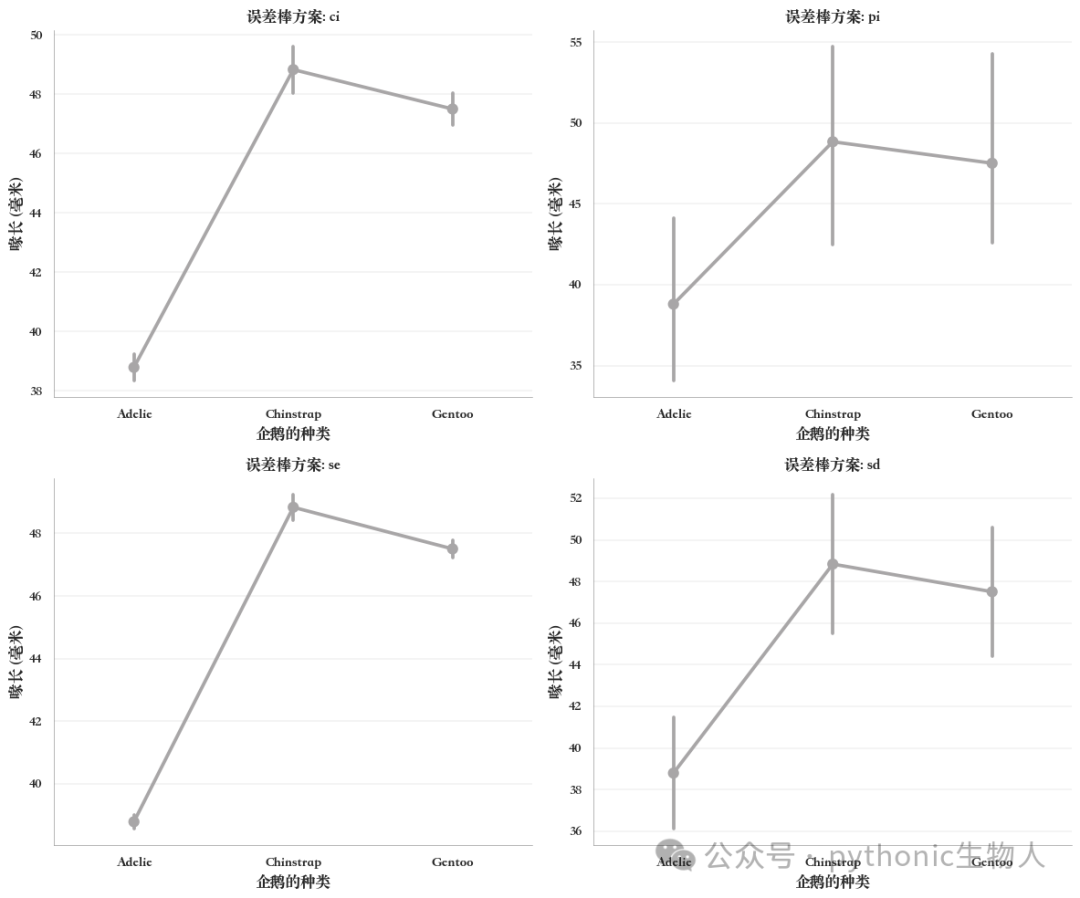
点图(point plot)
点图(point plot)通过点的位置表示数值变量的中心趋势估计,并使用误差条(error bar)来显示估计值的不确定性范围,可以集中地比较一个或多个分类变量的不同水平。
例如,点图-4类误差棒方案 ,
errorbars = ['ci', 'pi', 'se', 'sd'] #4类误差棒方案
fig, axs = plt.subplots(2, 2, figsize=(12, 10))
for i, errorbar in enumerate(errorbars):
row = i // 2
col = i % 2
sns.pointplot(
x='企鹅的种类',
y='喙长 (毫米)',
data=penguins,
errorbar=errorbar, #设置误差棒方案
ax=axs[row, col],
color="#a8a6a7")
axs[row, col].set_title(f'误差棒方案: {errorbar}')
plt.tight_layout()
plt.show()

欢迎加入机器学习爱好者微信群一起和同行交流,目前有机器学习交流群、博士群、博士申报交流、CV、NLP等微信群,请扫描下面的微信号加群,备注:”昵称-学校/公司-研究方向“,例如:”张小明-浙大-CV“。请按照格式备注,否则不予通过。添加成功后会根据研究方向邀请进入相关微信群。请勿在群内发送广告,否则会请出群,谢谢理解~(也可以加入机器学习交流qq群772479961)
