朴素贝叶斯算法作为机器学习中经典算法,在机器学习分类任务中占据一席之地,尤其是在文本分类,垃圾邮件分类等问题上具有不错的泛化能力,作为最简单的生成式模型,下面我们具体了解下。
条件概率:设
是两个事件,且
,则在事件
发生的条件下,事件
发生的概率为:
条件概率由文氏图可以更好的理解,其中
就是

乘法公式:由条件概率公式得

乘法公式推广:对于任何正整数
,当
时有:

全概率公式:若事件
两两互斥,即
,并且
,则对任意一个事件
,有如下公式成立


贝叶斯公式:由上面几个公式不难推出下面公式

现在我们将上述贝叶斯公式应用到机器学习算法中,分类任务是已知特征预测类别的有监督学习任务,上述贝叶斯公式可写为:

假设现在有个二分类问题,根据男士条件来预测女士嫁与不嫁,具体数据如下表:
身高 | 长相 | 收入 | 嫁与否 |
高 | 帅 | 高 | 嫁 |
矮 | 丑 | 低 | 不嫁 |
高 | 丑 |
低 | 不嫁 |
高 | 丑 | 高 | 嫁 |
矮 | 帅 | 低 | 不嫁 |
矮 | 丑 | 高 | 不嫁 |
矮 | 帅 | 高 | 嫁 |
高 | 丑 | 高 | 嫁 |
已有历史数据,现来了一个男士新的特征(矮,帅,高),来进行预测嫁与不嫁,根据贝叶斯公式我们可以得到以下两个公式,比较两个值的大小就可以预测出嫁与不嫁,不难看出我们只需要比较分子的大小就可以。

朴素贝叶斯算法假设各个特征之间相互独立,所以




可见
,所以预测结果为嫁。
现在又来了一个男士新的特征(矮,帅,低),来进行预测嫁与不嫁,当我们进行计算
时,发现为0,这就会导致
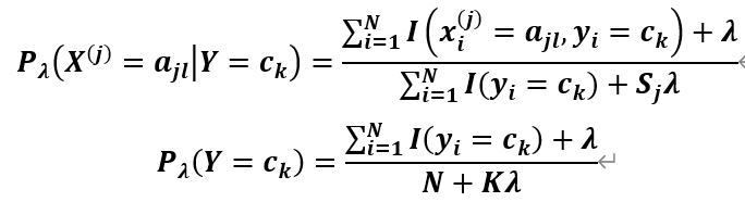
的最后概率为0,而这个错误的造成是由于训练量不足,会令分类器泛化能力大大降低,为了解决这个问题加入拉普拉斯平滑,它的思想非常简单,就是对每个类别下所有划分的计数加1,公式为:
其中
代表第j个特征的l个选择,
代表第j个特征的个数,
代表种类,
代表样本数,
。加入拉普拉斯平滑后,我们看下特征(矮,帅,低)在嫁与不嫁的概率结果,

首先看
,首先身高的特征类别为2种,
,所以分母为6(嫁的个数4+特征类别数2),分子为2(嫁中为矮1+
),概率为1/3,按同样的方式求得
,
,最后结果为:

接下来就要用第二个公式求
,其中
,则最后概率为1/2。所以
分子部分的概率为1/72。接下来用同样的方法求
的分子部分概率为:

其中分子部分为:

后者概率大于前者,所以预测为不嫁。
在参数估计上,频率派是MLE(最大似然估计),贝叶斯派是MAP(最大后验估计)https://www.zhihu.com/question/20587681
优点:算法逻辑简单,易于实现,分类过程中时间空间开销比较小缺点:理论上,朴素贝叶斯模型与其他分类方法相比具有最小的误差率。但是实际上并非总是如此,这是因为朴素贝叶斯模型假设属性之间相互独立,这个假设在实际应用中往往是不成立的,在属性个数比较多或者属性之间相关性较大时,分类效果不好。而在属性相关性较小时,朴素贝叶斯性能最为良好。对于这一点,有半朴素贝叶斯之类的算法通过考虑部分关联性适度改进。
声明:部分内容来源于网络,仅供读者学术交流之目的。文章版权归原作者所有。如有不妥,请联系删除。